141 Linked List Cycle
141. Linked List Cycle
1. Question
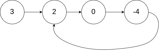
Input: head = [3,2,0,-4], pos = 1
Output: true
Explanation: There is a cycle in the linked list, where tail connects to the second node.


2. Implementation
3. Time & Space Complexity
Last updated